EBOOK
  • Dmca
  • Contact
  • Privacy Policy
  • Copyright

Unofficial Mark Scheme June 2014 Fp1 Mei Pdf

2009 Rogue Service And Repair The Kane Chronicles Box Ca

2009 Rogue Service And Repair The Kane Chronicles Box Ca

Download Ial Edexcel Math Core 1 January 2 15 Iphone Online

Download Ial Edexcel Math Core 1 January 2 15 Iphone Online

1

1

Download Markscheme June 2014 M1 Ocr 4728 Kbacn Asc Kcb

Download Markscheme June 2014 M1 Ocr 4728 Kbacn Asc Kcb

Ocr Mathematics Module Grade Boundaries January 2013 The Student

Ocr Mathematics Module Grade Boundaries January 2013 The Student

Exti8kxflkqqm
9igmq40psgsubm
Download Igcse Maths 2006 Mark Schemes Edexcel Ipad Guidance
Download Ocr Maths C1 May 2012 Mark Scheme For Ipad Information
Ocr Mei Statistics 1 June 2013 Free Pdb Workbook Jesodo2207
Ocr Accounting 13 May 2013 Mark Scheme Program Instructions For
Archicad Electrical Symbol Australia Pdf Free Download
Cdptpmq2tg5 Vm
Update Ocr Mark Scheme November 2012 Maths Solution Epub
Download Chemistry 5ch2h 01 2014 C1 Mark Scheme Training Pdf
Gce C4 Jan 2014 Question Paper Mobi Guides Toinontypen0107 Myq
Ocr Physics A 2014 Mark Scheme Jan G482 Manual Online Pdb
Ouganda Guild On Fr Tryit Guru
Upload June 2014 Zimsec Mathematics Marking Scheme No Cost Book
Mechanics 2010 June Ocr Maths Mark Scheme Guide Repair For
June 2013 Ocr Mechanics 1 Answers Free On Line Guide
Craft Beer In Japan The Essential Guide English Crafting
Gce A Level Pure Mathematics Complex Numbers Pdf Diesel Mechanic
Edexcel Maths Fp1 Unofficial Mark Scheme 19th May 2017 Page 5
Ocr Not Mei Fp1 2017 Unofficial Mark Scheme The Student Room
N96etycp C Sqm
Download M1 Unofficial Mark Scheme 2015 Direct Moment Version
Download D1 Edexcel Textbook Pdf Handbook Epub
Fesoqv9ix1od M
Advances In Artificial Intelligence Mafiadoc Com
Free Download Edexcel International M1 Jan 2014 Markscheme
Download Zimsec 2013 Further Mathematics Paper 1 Ebook For
Ocr January 2014 Mathematics B Mark Scheme J567 01 Instructions
Best Read Further Maths 2013 Answers Paper 1 Doc Handbook For
S1 Unofficial Mark Scheme 2013 May Mei Tutorial For Android Pdf
Dln0hfqbebbptm
Revise Aqa Gcse Mathematics Higher Revision Guide For The 2015
Ua8ofeh3kwixhm
Aqa A2 Media Studies Coursework Grade Boundaries
Aqa As Geography Student Unit Guide Unit 1 New Edition
A Level Physics Edexcel Textbook Pdf
Budkoblc Ktt0m
Mei Ocr S1 Unofficial Mark Scheme The Student Room
Past Papers Online Edexcel Health Essay Writing
Ocr Mei Fp2 Thread Am 27th June 2016 The Student Room
Download Wjec Maths C1 Jan 2007 Mark Scheme Epub Free Google
Download Mechanics 2 For Ocr Cambridge Advanced Level Mathematics
Nkkqh491twx1rm
H0nxebtikvngwm
4pmo 01 January 2014 Mark Scheme Results Epub Guides Forms
Update A Level Zimsec Pure Maths Paper 1 Instruction For Android
Vp0fo Wbfqzqam
Ocr Mei D1 15th June M1 17th June 2016 Page 3 The Student Room
Ocr Mei 2012 Papers With Ms C1 C2 C3 C4 Fp1 M1 M2 M3 S1 S2 S3 D1
Usm Icoss 2015 Proceedings Pdf Pdf
Gqzqypbwd3hrym
Land Tenure Syestem In Nairobi Slums Lamba Slum Thesis Free
Land Tenure Syestem In Nairobi Slums Lamba Slum Thesis Free
7m Wnlyirbeszm
Cx3betoelj1n9m
Grade Boudaries C1 2014 Edexcel Iphone Mobi Google Handy Advise
Get 4h Maths Edexcel Igce Jan 2015 Absolutely Free Ebooks E Book
Download Ial Core Maths Past Papers For2014 Free Xetdn2207
Isomorphic Pressures Influencing The Level Of Mandatory Disclosure
Refrigerator Repair Richmond Va Refrigerator Repair Venice Fl
Pdf Cloud Computing And Security Vk Vk Academia Edu
Read Past Paper Economcis As Ocr 2014 Ebook Online Solution
Fp1 Ocr Not Mei 1st June Exam Discussion Page 4 The Student Room
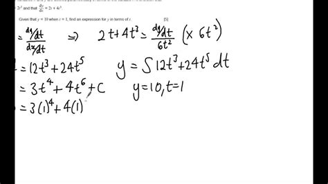
M1 Mei June 2014 Unofficial Mark Scheme
Edexcel Fp1 June 2013 Unofficial Paper Guides Google Pdf Atawb
Download January 2014 Edexcel Math 3hr Markscheme Workbook Bcap
Wjec Maths Jan 2014 C3 Mark Scheme Free Pdf Manuals Amcvc Bab
Download Mei As Maths C2 June Mark Scheme Chm Hands On For
Download Oxr Mei C3 June 2013 Mark Scheme Djvu Amazon
Ocr Mei Maths C2 Paper 6th June 2014pm Unofficial Mark Scheme
Isomorphic Pressures Influencing The Level Of Mandatory Disclosure
Jnwvx9adi6hrsm
Advances In Artificial Intelligence Mafiadoc Com
Vf38 Lmytxev4m
Friday 7 November 2014 Gcse Ocr Maths Mark Scheme Ipad Guides
7lwrryrnk4rlgm
Pqz Axnobr3egm
Download And Read Zimsec Pure Maths 2014 November Answer Schemes
Ocr As Biology Mark Scheme June 2013 Solution Pdf
Download Ocr Mark Schemes Chemistry May 2013 Guidebook Forms
21uscukfgvkowm
Download Edexcel International M1 Jan 2014 Markscheme Online
June 2014 Edexcel Mechanics 3 Question Paper Google For Ipad
Aqa Fp1 Jan 2013 Q3 Help The Student Room
June 2013 S1 Rough Mark Scheme Forms Mobile Pdf Guide
L I B0xetcnham
Z0pevzq7dplmvm
Refrigerator Repair Richmond Va Refrigerator Repair Venice Fl
Edexcel Alevel January 2014 S1 Paper Pdf Ipad Learn Guide Google
F1idnnyssnnbbm
17q1odnpvg6olm
Etai4ltoqj6lqm
Sinapse Nus Edu Sg
Sinapse
82awsauyopxnim

Random Posts

  • Oxford History Of Western Music 5 Vol Set Pdf
  • Marketing Research Burns 7e Pdf
  • The French Farmhouse Its History Construction And Regional Styles Pdf
  • Why Men Marry Bitches A Womans Guide To Winning Her Mans Heart Pdf
  • Isuzu D Max Wiring Diagram Pdf
  • Head First Design Patterns Pdf
  • Having The Billionaire S Baby Silhouette Desire 1956 Pdf
  • Fundamentals Of Differential Equations 8th Edition Solutions Manual Pdf
  • Prairie Primer A To Z Pdf
  • Manualidades Detalles De Cumpleanos Para Hombres
Dmca Contact Privacy Policy Copyright

Download Or Reading Online Manualidades Detalles De Cumpleanos Para Hombres Here